
PHYSICAL - TECHNICAL LABORATORY GLUSHKO


THE THEORY OF RELATIVITY AND RELATIVITY OF SIMULTANEOUS EVENTS
ABSTRACT
PACS: 03.30 + P
Considering the light speed constancy principle, the Special Principle of Relativity outlines the provision on relativity of simultaneous events, directed on reconciliation of this postulate with the principle of relativity. Definite values of time intervals of the light motion in both direct and return directions have been calculated for the motion frames of reference, being observed from the stationary system of reference within the framework of the Special Relativity Principle’s physical model. Calculation revealed their inequality. This fact is based on both light speed constancy principle and the principle of relativity, and thus, does not represent traditional paradox of the Special Relativity Principle, like a “clock paradox”, which represent the inherent contradiction of the Special Relativity Principle.
________________________________________________________________________
Considering from the principles of relativity and consistency of the light speed, as well as from the method for synchronization of watches, we outlines one of the most important provisions of Special Principle of Relativity - the “relativity of simultaneous events”, which, according to the author is intended for removal of “seeming” contradiction between the principle of relativity and the light speed constancy principle. The essence of this provision consists in the statement that events being simultaneous in one frame of reference would not be simultaneous in another. Let us consider this statement in details. There are two inertial frames of reference, one of which will be called stationary frame of reference and the other correspondingly motion system of reference. As both systems are equal (the principle of relativity) and the light speed in both systems also has the same value, being isotropic, than the observers of these systems may apply the method for synchronization of watches, offered by the Special Relativity Principle’s author in section 1, page 9 (1), to their watches. Criteria of both clocks rates’ synchronism (A and B) consists in the following statement of the author: “Let in the point of time tA from A, “A-time”, the ray of light comes from A to B and reflects in the point of time tB in “B-time” from B to A and comes back to A in the point of time t’A in “A-time”. Thus, according to definition, the watches A and B will synchronous, if:
tB - tА= t'A- tB ”. (1)
Then the author of the Special Relativity Principle affirms that watches will be considered synchronous only within the frameworks of their reference frames, while watches located in one frame of reference will not be synchronous relatively to watches located in another system of reference (the provision on the relativity of simultaneous events). This statement is determined as a “proof by contradiction”, i.e. based on assumption that watches of both systems are synchronous (see page 12 and 13 (1)). Let us refer to this proof, and remind that motion frame of reference has the rod, which axle is oriented in parallel direction toward movement of system. Further, we quote the author of the Special Principle of Relativity: “Let us imagine that watches (A and B) are fastened to both ends on this rod, and these watches are synchronous to watches located in the stationary system, i.e. indications of these watches conform to the “time of the stationary system” in points, where these watches are placed, hence, the watches are synchronous in the stationary system. Let us further imagine that each of the watches has the observer, which moves with the watch. These observers will apply the criteria of the synchrony of both clock rates, described in the section 1 to both of these watches. Let in the point of time (see reference: Here the “time” means the “time of the stationary system” and along with it “location of the moving watches’ indicator, located in that point, referred to above) tA ray of light comes from the A point, reflects in the point of B and comes back to the point of A in the point of time t’A. Taking into account the light speed constancy principle, we find the following:
Where rAB - the length of the moving rod, measured in the resting system,
с – speed of light, ν – speed of the motion frame or reference relatively to the stationary system.
Thus, observers, moving along with the rod will find that watches in the points of A and B are not synchronous, while the observers located in the stationary system of reference will declare these watches synchronous. Considering this, we can state that there is no need to attach absolute importance to the concept of synchronism. Two events, being simultaneous at observation from the one frame of reference cannot be perceived as simultaneous from another system of reference, moving relatively to the first one. Considering from this citation we can state that watches of these two frames of reference could not be synchronous due to their relative motion and presence of the light speed constancy postulate. Thus, aforementioned experiment with the watches and light, performed in the motion system of reference represents performance of definite actions corresponding to the method and criteria for synchronization of watches of the Special Relativity Principle, under which the point of time tB1 =t'A - tB , of the В watches, is placed in correspondence with indications of watches А, equal to tA1, calculated under the following formula:
tA1 = 1/2 [( tВ - tA) + (t'A- tВ)] =1/2 [ tA +t'A] (4)
Naturally, that the same method for synchronization of watches is also indicated in the stationary frame of reference. Particular value of non-synchronous clock rate of the moving frame of reference ∆, revealed at observation from the resting system of reference was very simple to calculate. Considering the method for synchronization of watches, the point of time tB1 = t'A - tB, hours В should be placed in correspondence with indications of watches A, equal to tA1 , and calculated under the following formula:
tA1 = ½ [( tВ - tA) + (t'A- tВ)] = ½ [ ] = (5)
Difference in indications of watches А and В shall be determined under the following formula:
∆ = tА1 – tВ1 = = (6).
Considering formula (6), we can see that observers from the stationary frame of reference will find that watches of motion system located in the point B slows in comparison with watches, located in the point A, on the ∆ value
Now, let us conduct the following mental experiment, which essence consists in the following: Both observers, located at the watches of motion system, at the same time (for example, in 10 o'clock in the morning), conducts flashes of light oriented on their already synchronized watches. This moment will be considered as a datum of countdown. Then, they fix the appearance of light from flashes, conducted at the opposite watches. Observers are watching the experiment from the stationary system of reverence and fix simultaneous points of time, using their watches. After completion of this procedure, the rod with the watches A and B fixed on its both ends should be turned around with the aim to reverse poles of the rod. After this, for example at 11 o’clock, observers will perform analogues flashes of light and fix light appearance time from flashes, conducted at the opposite watches. After this procedure, values of time intervals, performed at 10 and 11 o’clock, and measured by each observer in each system of reference should be compared with each other.
As this experiment is mental, the observers of motion system will see the mentioned intervals as equal, and their correlation will be accepted as 1, whereas, the observers of stationary system can calculate the mentioned intervals of time. Such calculations confirm non-synchronism of watches in motion system (see formula 6), and the fact that the light speed in both direct and return directions will be also different (see formulas 2 and 3). Calculations show that interval of time for watches A in experiment, performed at 10 o’clock, will be determined under the following formula:
The positive sign behind the ∆ specifies the watches B slows in comparison with watches A, i.e. flash at the watches B will be conducted after the opposite watches A will show (10 + ∆) o'clock in the morning. While during experiment conducted at 11 o’clock, the same interval of time measured by watches A (let us remind that we have changed locations of both watches A and B) will be determined under the following formula:
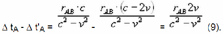
The positive sign behind the ∆ indicates the asynchronous cloak rate remain previous, i.e. flashes of light at watches B will be performed when watches A will show (11 + ∆) in the morning. Thus, the difference of time intervals ∆ tA and ∆ t'A will be determined under the following formula
Analogues correlations may be also received for the B watches. Thus, calculations have reveled dependence of light propagation time intervals’ values between the same points from the orientation of direct line connecting points relatively to the speed vector of the motion system of reference.
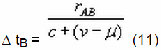
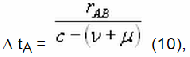
The given fact is based on the statement that rotation of the frame of reference, resulting in the change of the watches location, does not influence value of synchronization and change their rate, which seems to be possible at the small values of centrifugal acceleration. Thus, it is worth mentioning that toughening of requirements to conditions of the experiment, assuming exclusion of any types of acceleration, in general, as the base for solution of given problem within the frameworks of the Special Relativity Principle, may bring into challenge adequacy of all known experiments for determining velocity of the planet motion, for example Michelson’s experiment to criteria of theory applicability. Indeed, the method used for realization of this experiment assumes rotation of measuring equipment (presence of centrifugal accelerations), while the experiment is interpreted as experimental substitution of the Special Relativity Principle. However, in this connection we should also mention conceptually different type of experiment, which excludes any kind of watches’ acceleration, as the main reason (basis) for exclusion of such experiments (or paradoxes, like clock paradox), from the arsenal of argued critics of the Special Relativity Principle. For example, when watches located in the points of A and B are accelerating toward each other and gathering certain insignificant speed, these watches will start moving toward each other with that constant speed. Synchronization of watches will be performed when watches will be located next to each other. After synchronization the watches will be moved away from each other, and flashes of light will be performed at each watches thorough every 10 minutes or any other time interval. Time intervals between the moment of launch of experiment (time of the flash) and the time as indicated as light appearance time from other watches, will be measured. Considering light speed consistency principle the observers of the moving system of reference for one watches, will fix the time interval equal to
And for another watches
Where μ – time for movement of watches relatively to moving system of reference;
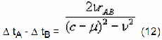
Thus, difference in indication of watches will be determined under the formula:
Thus, this experiment within the frameworks of the Special Relativity Principle reveals inherent contradictions of this Special Relativity Principle. On the one hand, considering the light speed constancy principle in the motion frame of reference, the watches located in that motion system should indicate equal time intervals between the beginning of experiment and appearance of the light flash; on the other hand, considering the same light speed constancy principle, the very same watches within the frameworks of the same experiment, observed from the stationary system, should indicate different time intervals. The specified logic contradiction represents nonsense and does not refer to paradoxes of the Special Relativity Principle, such as the clock paradox, which violates theory applicability criteria. This contradiction may be solved only by means of experiment, i.e. by taking up the matter with the nature. Methods of aforementioned experiments may be used for measuring absolute velocity of our planet. Moreover, this fact represents scientific substantiation for conduction of conceptually new types of experiments aimed at detection of absolute movement of Earth. Indeed, atomic clock, having relative clock rate equal to 10-12, which may be preserved for longer periods, will allow its easier performance.
Literature:
Einstein А. To electrodynamics of bodies in motion. Collection of scientific works. М. 1965. Т.1
Publishing date: September 21, 2008








